二次供水系统长期面临两大挑战——水箱“长水龄”引发的余氯衰减水质风险,以及“调蓄潜能未充分发挥”导致的运行效率低下。为破解这些难题,福州市自来水有限公司总工程师许兴中团队开展了“基于余氯保障的二供水箱水龄管控耦合错峰调蓄智能控制系统”研究,系统引入边缘自治技术,同步实现水龄的精细化管控与水箱调蓄潜能的充分调动。
在2025(第十届)供水高峰论坛上,许兴中系统展示了该智能控制系统的运行逻辑、多重安全保障机制,以及在多个试点项目的实际应用成效。
福州市自来水有限公司总工程师许兴中
二供水箱水龄管控思考
水箱在城镇安全供水保障中发挥了重要作用,主要用途是稳定安全的为终端用户提供水源。全球70%以上的高层建筑集中于中国,约50%至60%的城市用水依赖二次加压与调蓄,福州现有水箱6000多个,上海更是达到17万个,二供水箱管控在二供管理系统中至关重要。
二供水箱管理长期存在一些问题。首先是“长水龄”问题。水箱设计容积过大、入住率低,都会造成水箱的储水远远超过实际需求,水箱水龄过长会导致余氯不足及微生物超标,对水质造成安全隐患。
我国大部分的水箱采用机械式浮球阀,水箱本身的调蓄作用微乎其微,这种“即用即补”的进水模式易造成市政管网水压波动,影响用户用水的舒适性、水表倒转、管网寿命等。近些年,如何缩短水箱水龄,同时充分挖掘水箱的调蓄潜能,成为福州市自来水公司的研究课题。
关于水箱贮水时间,国家和地方标准都有相应规定,如《建筑给水排水设计标准》GB 50015第3.3.19条:生活饮用水水池(箱)贮水更新时间不宜超过48h;《城市高品质饮用水技术指南》第3.3.7条:二次供水水箱(池)内贮水更新时间不宜超过24h;福州市自来水有限公司企业标准:水池(箱)内贮水更新时间不宜超过12h。
许兴中提出,行业在水箱管控方面亟需厘清以下四个核心问题:
首先如何明确二供水箱"水龄"合格与否的判定标准?二次供水设施水质必测项目包括色度、浊度、嗅味及肉眼可见物、PH、大肠菌群、细菌总数、余氯等8项指标,其中"水龄"过长关联性最直接的指标就是余氯及余氯不足造成的大肠菌群、细菌总数超标。
其次,如何确定“水龄”多长比较合适?许兴中指出,水龄的判断标准不是简单的一张时间表,不同的城市存在不同的管网条件,管网中不同位置的水箱初始余氯不同、不同季节水温不同,余氯衰减不同。
第三,如何充分利用管网余氯,避免二次加氯或控制出厂水加氯量?合理控制水箱水龄,保障水箱余氯适当冗余,实现龙头余氯合格——对水龄进行精细化管控。
第四、如何充分利用水箱的调蓄潜能,优化城市供水系统?利用二供水箱的调蓄潜能,错峰调蓄降低供水时变化系数,降低出厂水压,利用峰谷电价差,节约供水电费——智能控制水箱补水。
基于以上思考,2022年,福州市自来水公司与福建省科技厅高校产学合作"基于水龄管控的二次供水水质安全保障关键技术研发及示范"、"福州市二次供水安全与节能关键技术研发及示范"项目,围绕水龄智能管控系统、水箱水龄管控耦合错峰调蓄控制系统进行课题研究。
箱余氯衰减影响因素及衰减模型
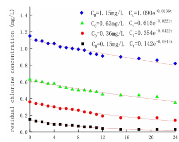
余氯衰减的因素很多,主要因素包括余氯的初始浓度、有机物含量和水温。初始余氯浓度越高,经过衰减后末端剩余的余氯也越高,但初始浓度本身也影响余氯衰减速率,余氯初始浓度越高,其衰减量也越大。

不同初始余氯浓度C0对余氯衰减的影响
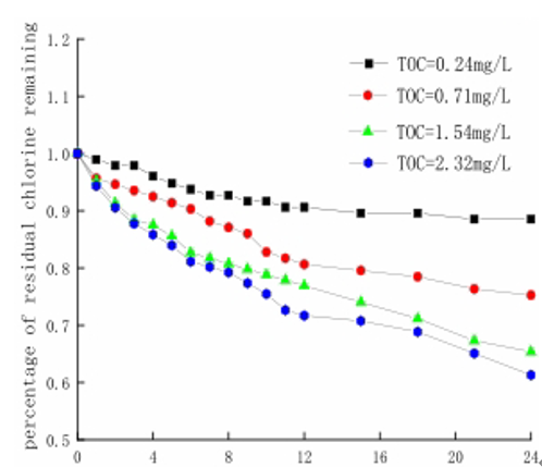
有机物(TOC)浓度对余氯衰减的影响也很显著。随着有机物浓度逐渐增加,24h内余氯的衰减量也随着增加。

不同初始TOC浓度对余氯衰减的影响
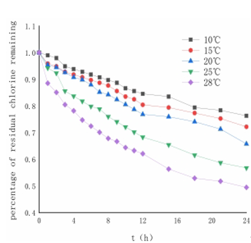
水温对余氯衰减的影响更加明显。随着水温的升高,24h内余氯的衰减量也随之增加。

不同水温T对余氯衰减的影响
除了以上因素,余氯还存在自分解现象。分解后的物质不能起到消毒效果,造成无效消耗。余氯的自分解主要和温度有关,根据自分解实验,水温为28℃的余氯消耗量百分比是水温为10℃的4.9倍。这说明在夏热冬暖地区,室外水箱宜进行保温,降低余氯的自分解的无效消耗,延缓水箱内余氯的无效消耗。

不同水温下二次供水水箱水余氯衰减情况
分析各因素对余氯衰减的影响显著性,团队建立了多因素交互影响下的水箱余氯衰减系数模型,通过余氯衰减模型,可以计算水箱内水最大允许水龄,即余氯符合要求水最长允许停留时间。
基于余氯保障水箱水龄智能管控系统
水箱水龄智能管控系统采用边缘自治技术方案,边缘自治是边缘计算的核心能力。由于云中心与边缘侧通过公网连接,网络质量存在不确定性,因此弱网或断网是系统需要面对的常态,而非异常情况。因此,当边缘侧与云中心网络不稳定或者断连时,边缘侧依旧可以正常运行,不影响已经部署的边缘服务。
控制运行逻辑
智能系统具有用水量预测功能,可根据各小区不同用水特点,实现算法模型自适应学习,从而对各小区进行精细化、个性化智能预测。
智能系统具备基于二供水箱出水水质安全的“允许水龄”或“最低保障出水余氯”等边缘计算能力,可根据各小区市政进水水质的差异性实时动态计算“允许水龄” 或“最低保障出水余氯” 。
智能系统可根据用水预测、允许水龄时间、市政管网水压智能制定有效策略,对水箱进水阀门的智能控制实现补水控制。
提供良好的人机交互和设置界面,便于各类数据的录入、条件的设置等。
安全保障机制
“供水安全”是优先于“水质管控”的安全底线目标;水龄智能管控系统必须确保无论在何种情况下,都不会对二次供水水箱的供水安全,增加额外的风险因素。
控制下放:将系统控制权交给RTU或者PLC等底层硬件如就地控制柜、数采柜等,同时立即发出控制失效的告警。
感知-超限:当某个传感器获取的值超过一定的阈值,则启用控制器执行特定的动作使感知值达到正常;如果感知值不属于控制器可控的范畴,则输出报警信息。
控制-校验:所有控制器执行的控制,必须有感知反馈,如执行加水动作,则必须监控液位线的状态以确保指令被正确执行。
数据填充:当不同传感器之间的数据存在关联时,可以使用其中正常的传感器数据填充异常的传感器数据,保证系统的正常运转,同时发出告警。
数据控制:在感知值异常或者缺失的情况,通过历史数据执行控制,执行过程采取保守的策略,保证系统的正常运转,并立即发出告警。

现场运行总览
水箱水龄精细化管控耦合错峰调蓄系统
耦合错峰调蓄系统采用边缘自治+云中心(边云协同)技术方案。云中心作为边缘计算系统的后端,负责全局策略制定、模型训练与更新、数据分析与可视化等工作。云中心与边缘侧之间通过安全通道进行通信,实现数据同步、任务调度与远程控制。而在边缘侧的网络发生中断时,可以通过独立的资源管理系统进行"自治管理"。
边云协同包含了计算资源、安全策略、应用管理、业务管理等方面的协同:
计算资源协同:提供的计算、存储、网络、虚拟化等基础设施资源的协同,以及边缘侧设备自身的生命周期管理协同。
安全策略协同:云中心提供了更为完善的安全策略,包括数据清洗、安全分析等。
应用管理协同:云中心实现对边缘侧软件的生命周期管理,包括软件的推送、安装、卸载、更新、监控及日志等。
业务管理协同:云中心提供统一业务编排能力,可以对某些控制进行高优先级处理,从而对业务进行不同优先级的分类和处理。
区域错峰调蓄系统包含两个部分:位于边缘侧的水箱调蓄,以及位于供水区域中心的区域调蓄。设计从安全性和稳定性角度出发,在边缘测处于离线状态时,通过边缘侧水箱调度也能实现一定程度的调度效果。
耦合错峰调蓄系统非常适合在水箱集中的市政增压泵站应用,市政增压泵站通讯稳定,可以充分发挥系统的调蓄能力。通过位于区域中心的区域调度可以对整个区域的供水进行调控,达到对区域供水的精细化管控,并可进行特定目标的供水调节。
区域调度基于需水程度的优先保障原则,控制补水时间和补水流量,将补水时间提前至高峰期之前,并控制高峰期的补水量至最低水平,释放城市的供水能力,降低高峰期用水、抢水造成的管网压力波动,均匀减少水箱向市政管网的取水需求。

区域调度过程总览
应用案例
水龄智能管控系统——龙湖云峰原著
该项目二供水箱基本情况为尺寸不规则水箱5.5m×9m+5m×1m,高度h=3.5m。液位浮球阀控制最高水位3.43m。安全开阀补水液位设定为停泵液位(0.5米)加上安全储水量(1.0米,按最大小时用水量的50%计),即1.5米。
建设方案为加装课题组监制的"集成水质在线监测及水龄智能管控的智能控制系统",加装带开度的电动阀调节。通过对该项目运行情况检测,用水量预测曲线与实际用水量曲线高度吻合;水龄有效控制,余氯衰减幅度小,保障性高;用水高峰时段水箱基本不补水,用水低峰时段水箱补水到最高位,错峰效果好。

二次供水24小时用水、水箱水位及余氯曲线
水龄智能管控系统——五凤兰庭(低余氯小区)
五凤兰庭二供水箱采用水龄智能管控后,水箱出水余氯整体得到提升,且高风险的夜间低峰用水期(00:00-06:00)采用水箱水龄管控方式后,07:00左右最低余氯提升0.08mg/L。通过对水龄的精准管控,有效稳定了水箱出水余氯,从而有助于降低消毒剂的额外投加量(药耗)。

二次供水24小时用水、水箱水位及余氯曲线
错峰调蓄系统——泉头片区水龄管控耦合错峰调蓄系统
该项目多小区联动试点,通过错峰调蓄系统平衡市政管网的流量和压力。泉头泵站供水片区面积总共2.32km²,泉头泵站总日供水量设计为6000m³/d。主要分为两个区供水,低区供水规模为2709m³/d,高区供水规模为3288.7m³/d。设计时变化系数取1.2,实际运行低区时变化系数在1.72~1.9波动,高区由于入住率较低,用水人数较少,且数据量较少,因此高区时变化系数在2.0左右。
2024年3月泉头泵站高区机组停机,低区提压,3月至7月对片区5个试点小区生活水箱进行错峰调蓄控制;7月关停试点小区水箱错峰调蓄系统,切换到水箱“即用即补”工况运行;10月错峰调蓄系统恢复运行。
对比5月15~21日“错峰调度”工况和8月15~21日“即用即补”工况泉头泵站供水时变化系数,见下图。片区内5个生活水箱错峰调度使泉头泵站平均时变化系数由1.76下降至1.48,下降了0.28 。

结语
水龄管控耦合错峰调蓄技术对水箱智能管控具有重要意义,可以归纳为以下六个方面:
能有效调控水箱水龄,保障二供余氯安全,减少出厂余氯量;
充分利用二供水箱调蓄潜能,提升城市供水系统的供水能力;
削峰填谷,降低管网压力波动,改善低峰用水管网流动性;
降低管网时变化系数,缓解高峰用水压力;
降低出厂水压,减少漏耗及爆管率,提高低谷电价时段供水量,节能降碳降本;
为出厂余氯管控提供技术保障,实现精准加氯,减少加氯量。
编辑:徐冰冰
版权声明:
凡注明来源为“中国水网/中国固废网/中国大气网“的所有内容,包括但不限于文字、图表、音频视频等,版权均属E20环境平台所有,如有转载,请注明来源和作者。E20环境平台保留责任追究的权利。
媒体合作请联系:李女士 13521061126
